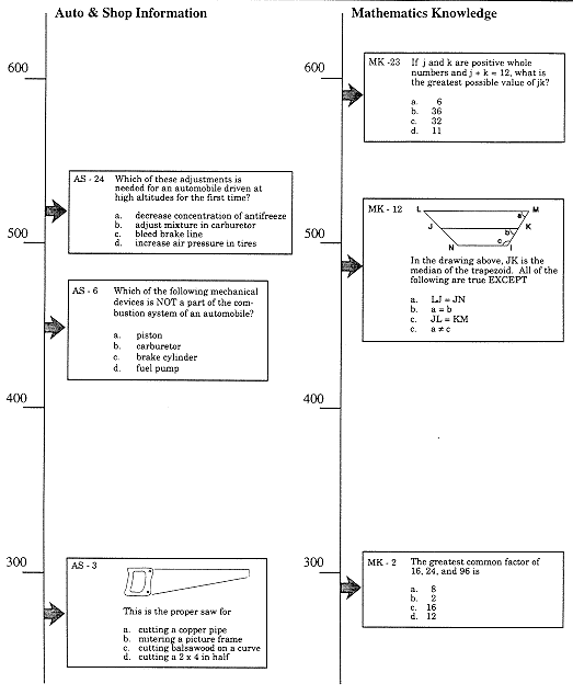
| FIGURE 12 | Armed Services Vocational Aptitute Battery | |
![]() |
||
| Source: Bock, R.D. and E.G.J. Moore (1984, February). Profileof American Youth. Washington, DC: Office of the AssistantSecretary of Defense (Manpower, Installations and Logistics),77-81 | Simulated Items at different difficulty levels from the Armed Services Vocational Aptitute Battery (ASVAB Form 8) used in the 1980 renorming of the ASVAB (higher scale number indicates greater difficulty.) |
| Previous Page | Table of Contents | Next Page |